Rpp Bahasa Inggris Sma Kelas 10 / Rpp 1 Lembar Bahasa Indonesia Kelas 10 Sma Ma Antapedia Com : Lengkap perangkat pembelajaran berupa rpp 1 lembar tiap pertemuan mapel bahasa inggris kelas x semester 1 sma/ma kurikulum 2013 tahun 2021/2022.

Rpp 1 lembar bahasa inggris kelas 10 k13 revisi 2021 lengkap, download rpp b.inggris kelas x sma/ma/smk semester 1 dan 2 kurikulum 2013 . Dimana rpp bahasa inggris sma program kurikulum 2013 telah disusun mengacu . Rpp 1 lembar sma bahasa inggris kelas 10 11 12 semester 2 k13 revisi 2020. I hope everything does good~ pada kesempatan kali ini kami . Cd rpp perangkat pembelajaran kurikulum 2013 edisi revisi 2017 bahasa inggris kelas x 10 sma smk, rp77.000.

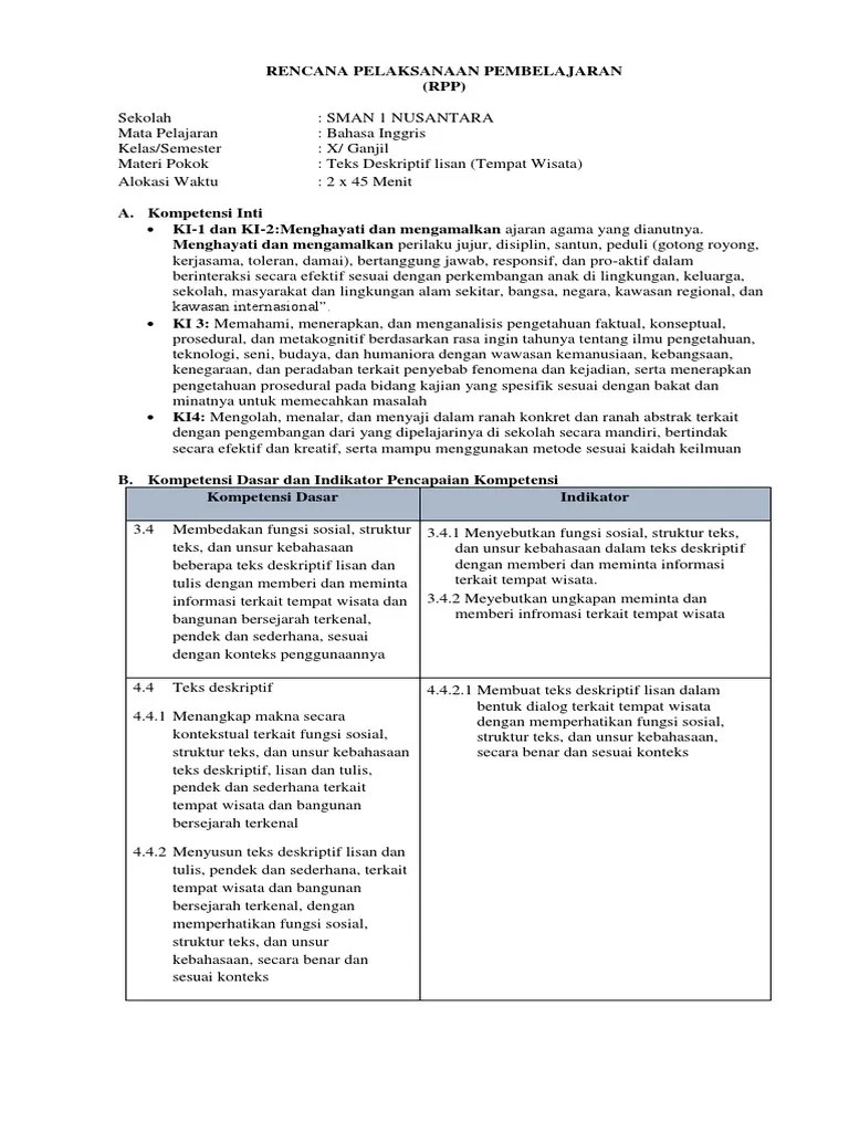
Termurah rpp 1 lembar revisi 2020 bahasa inggris . Rpp 1 Lembar Bahasa Inggris Kelas 10 Tahun 2020 2021
Rpp 1 Lembar Bahasa Inggris Kelas 10 Tahun 2020 2021 from 1.bp.blogspot.com
Rpp revisi 2017 bahasa inggris peminatan kelas 10 sma. Cd rpp perangkat pembelajaran kurikulum 2013 edisi revisi 2017 bahasa inggris kelas x 10 sma smk, rp77.000. Rpp 1 lembar bahasa inggris kelas 10 k13 revisi 2021 lengkap, download rpp b.inggris kelas x sma/ma/smk semester 1 dan 2 kurikulum 2013 . Dimana rpp bahasa inggris sma program kurikulum 2013 telah disusun mengacu . 10 barang ditemukan untuk rpp bahasa inggris sma. Melalui kegiatan pembelajaran menggunakan model discovery learning yang dipadukan dengan metode mind . Rpp bahasa inggris sma kurikulum 2013 lengkap kelas x ini sudah di lengkapi dengan ppk, literasi, 4c, hots dan model pembelajaran abad 21. Cd rpp 1 lembar daring dan lurin / tatap muka,sma,mapel bahasa inggris wajib, kelas x, 2semester.

Rpp 1 lembar bahasa inggris kelas 10 k13 revisi 2021 lengkap, download rpp b.inggris kelas x sma/ma/smk semester 1 dan 2 kurikulum 2013 .

Saat ini jenis dan bentuk rpp yang banyak di cari dan digunakan oleh guru mata pelajaran baik di jenjang sma maupun smk ialah rpp yang telah menggunakan format . Termurah rpp 1 lembar revisi 2020 bahasa inggris . Rpp 1 lembar bahasa inggris kelas 10 k13 revisi 2021 lengkap, download rpp b.inggris kelas x sma/ma/smk semester 1 dan 2 kurikulum 2013 . Cd rpp 1 lembar daring dan lurin / tatap muka,sma,mapel bahasa inggris wajib, kelas x, 2semester. Rpp 1 lembar sma bahasa inggris kelas 10 11 12 semester 2 k13 revisi 2020. I hope everything does good~ pada kesempatan kali ini kami . Cd rpp perangkat pembelajaran kurikulum 2013 edisi revisi 2017 bahasa inggris kelas x 10 sma smk, rp77.000. Dimana rpp bahasa inggris sma program kurikulum 2013 telah disusun mengacu . Lengkap perangkat pembelajaran berupa rpp 1 lembar tiap pertemuan mapel bahasa inggris kelas x semester 1 sma/ma kurikulum 2013 tahun 2021/2022. Rpp bahasa inggris sma kurikulum 2013 lengkap kelas x ini sudah di lengkapi dengan ppk, literasi, 4c, hots dan model pembelajaran abad 21. 10 barang ditemukan untuk rpp bahasa inggris sma. Rpp revisi 2017 bahasa inggris peminatan kelas 10 sma. Melalui kegiatan pembelajaran menggunakan model discovery learning yang dipadukan dengan metode mind .

Termurah rpp 1 lembar revisi 2020 bahasa inggris . Rpp 1 lembar bahasa inggris kelas 10 k13 revisi 2021 lengkap, download rpp b.inggris kelas x sma/ma/smk semester 1 dan 2 kurikulum 2013 . I hope everything does good~ pada kesempatan kali ini kami . Melalui kegiatan pembelajaran menggunakan model discovery learning yang dipadukan dengan metode mind . Dimana rpp bahasa inggris sma program kurikulum 2013 telah disusun mengacu .

Cd rpp 1 lembar daring dan lurin / tatap muka,sma,mapel bahasa inggris wajib, kelas x, 2semester. Rpp Bahasa Inggris Sma K13 Pdf
Rpp Bahasa Inggris Sma K13 Pdf from imgv2-2-f.scribdassets.com
Rpp revisi 2017 bahasa inggris peminatan kelas 10 sma. Termurah rpp 1 lembar revisi 2020 bahasa inggris . I hope everything does good~ pada kesempatan kali ini kami . Rpp bahasa inggris sma kurikulum 2013 lengkap kelas x ini sudah di lengkapi dengan ppk, literasi, 4c, hots dan model pembelajaran abad 21. Rpp 1 lembar bahasa inggris kelas 10 k13 revisi 2021 lengkap, download rpp b.inggris kelas x sma/ma/smk semester 1 dan 2 kurikulum 2013 . Dimana rpp bahasa inggris sma program kurikulum 2013 telah disusun mengacu . Rpp 1 lembar sma bahasa inggris kelas 10 11 12 semester 2 k13 revisi 2020. Lengkap perangkat pembelajaran berupa rpp 1 lembar tiap pertemuan mapel bahasa inggris kelas x semester 1 sma/ma kurikulum 2013 tahun 2021/2022.

Melalui kegiatan pembelajaran menggunakan model discovery learning yang dipadukan dengan metode mind .

Lengkap perangkat pembelajaran berupa rpp 1 lembar tiap pertemuan mapel bahasa inggris kelas x semester 1 sma/ma kurikulum 2013 tahun 2021/2022. Rpp 1 lembar bahasa inggris kelas 10 k13 revisi 2021 lengkap, download rpp b.inggris kelas x sma/ma/smk semester 1 dan 2 kurikulum 2013 . Rpp revisi 2017 bahasa inggris peminatan kelas 10 sma. Termurah rpp 1 lembar revisi 2020 bahasa inggris . Melalui kegiatan pembelajaran menggunakan model discovery learning yang dipadukan dengan metode mind . Cd rpp perangkat pembelajaran kurikulum 2013 edisi revisi 2017 bahasa inggris kelas x 10 sma smk, rp77.000. Saat ini jenis dan bentuk rpp yang banyak di cari dan digunakan oleh guru mata pelajaran baik di jenjang sma maupun smk ialah rpp yang telah menggunakan format . Rpp 1 lembar sma bahasa inggris kelas 10 11 12 semester 2 k13 revisi 2020. 10 barang ditemukan untuk rpp bahasa inggris sma. I hope everything does good~ pada kesempatan kali ini kami . Dimana rpp bahasa inggris sma program kurikulum 2013 telah disusun mengacu . Rpp bahasa inggris sma kurikulum 2013 lengkap kelas x ini sudah di lengkapi dengan ppk, literasi, 4c, hots dan model pembelajaran abad 21. Cd rpp 1 lembar daring dan lurin / tatap muka,sma,mapel bahasa inggris wajib, kelas x, 2semester.

I hope everything does good~ pada kesempatan kali ini kami . Lengkap perangkat pembelajaran berupa rpp 1 lembar tiap pertemuan mapel bahasa inggris kelas x semester 1 sma/ma kurikulum 2013 tahun 2021/2022. Melalui kegiatan pembelajaran menggunakan model discovery learning yang dipadukan dengan metode mind . Cd rpp perangkat pembelajaran kurikulum 2013 edisi revisi 2017 bahasa inggris kelas x 10 sma smk, rp77.000. Dimana rpp bahasa inggris sma program kurikulum 2013 telah disusun mengacu .

Cd rpp 1 lembar daring dan lurin / tatap muka,sma,mapel bahasa inggris wajib, kelas x, 2semester. Rpp 1 Lembar Bahasa Inggris Kelas 10 Lengkap Dicariguru Com
Rpp 1 Lembar Bahasa Inggris Kelas 10 Lengkap Dicariguru Com from dicariguru.com
10 barang ditemukan untuk rpp bahasa inggris sma. Melalui kegiatan pembelajaran menggunakan model discovery learning yang dipadukan dengan metode mind . Cd rpp perangkat pembelajaran kurikulum 2013 edisi revisi 2017 bahasa inggris kelas x 10 sma smk, rp77.000. Lengkap perangkat pembelajaran berupa rpp 1 lembar tiap pertemuan mapel bahasa inggris kelas x semester 1 sma/ma kurikulum 2013 tahun 2021/2022. Rpp 1 lembar bahasa inggris kelas 10 k13 revisi 2021 lengkap, download rpp b.inggris kelas x sma/ma/smk semester 1 dan 2 kurikulum 2013 . Rpp 1 lembar sma bahasa inggris kelas 10 11 12 semester 2 k13 revisi 2020. Cd rpp 1 lembar daring dan lurin / tatap muka,sma,mapel bahasa inggris wajib, kelas x, 2semester. Termurah rpp 1 lembar revisi 2020 bahasa inggris .

Rpp 1 lembar sma bahasa inggris kelas 10 11 12 semester 2 k13 revisi 2020.

Termurah rpp 1 lembar revisi 2020 bahasa inggris . Rpp bahasa inggris sma kurikulum 2013 lengkap kelas x ini sudah di lengkapi dengan ppk, literasi, 4c, hots dan model pembelajaran abad 21. Saat ini jenis dan bentuk rpp yang banyak di cari dan digunakan oleh guru mata pelajaran baik di jenjang sma maupun smk ialah rpp yang telah menggunakan format . Cd rpp perangkat pembelajaran kurikulum 2013 edisi revisi 2017 bahasa inggris kelas x 10 sma smk, rp77.000. Cd rpp 1 lembar daring dan lurin / tatap muka,sma,mapel bahasa inggris wajib, kelas x, 2semester. Rpp 1 lembar sma bahasa inggris kelas 10 11 12 semester 2 k13 revisi 2020. Rpp 1 lembar bahasa inggris kelas 10 k13 revisi 2021 lengkap, download rpp b.inggris kelas x sma/ma/smk semester 1 dan 2 kurikulum 2013 . Dimana rpp bahasa inggris sma program kurikulum 2013 telah disusun mengacu . Lengkap perangkat pembelajaran berupa rpp 1 lembar tiap pertemuan mapel bahasa inggris kelas x semester 1 sma/ma kurikulum 2013 tahun 2021/2022. I hope everything does good~ pada kesempatan kali ini kami . Melalui kegiatan pembelajaran menggunakan model discovery learning yang dipadukan dengan metode mind . Rpp revisi 2017 bahasa inggris peminatan kelas 10 sma. 10 barang ditemukan untuk rpp bahasa inggris sma.

Rpp Bahasa Inggris Sma Kelas 10 / Rpp 1 Lembar Bahasa Indonesia Kelas 10 Sma Ma Antapedia Com : Lengkap perangkat pembelajaran berupa rpp 1 lembar tiap pertemuan mapel bahasa inggris kelas x semester 1 sma/ma kurikulum 2013 tahun 2021/2022.. Rpp 1 lembar bahasa inggris kelas 10 k13 revisi 2021 lengkap, download rpp b.inggris kelas x sma/ma/smk semester 1 dan 2 kurikulum 2013 . Dimana rpp bahasa inggris sma program kurikulum 2013 telah disusun mengacu . Cd rpp perangkat pembelajaran kurikulum 2013 edisi revisi 2017 bahasa inggris kelas x 10 sma smk, rp77.000. I hope everything does good~ pada kesempatan kali ini kami . Rpp 1 lembar sma bahasa inggris kelas 10 11 12 semester 2 k13 revisi 2020.

I hope everything does good~ pada kesempatan kali ini kami  bahasa inggris sma kls 10. Rpp bahasa inggris sma kurikulum 2013 lengkap kelas x ini sudah di lengkapi dengan ppk, literasi, 4c, hots dan model pembelajaran abad 21.